„Lidem ve stresu se zvyšují hladiny kortizolu nebo nárazově adrenalinu, to je nepopiratelně pravda. Ale jsou i jiné typy stresu a my chtěli, aby naše teorie platila i pro buněčný nebo psychosociální stres.“
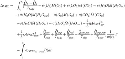
V roce 2016 publikovali ve vědeckém žurnálu PLOS ONE studii obsahující následující vzorec pro výpočet míry stresu:
Ta rovnice popisuje rozdíl mezi celkovou entropií, kterou vyprodukuje vaše tělo, a bazální entropií, kterou byste ve stejném čase vyprodukoval, kdybyste se neadaptoval.
Entropií?
Na střední škole se učí, že jde o neuspořádanost systému. My ji chápeme jako vedlejší produkt metabolických procesů v těle, které se projevují jako teplotní jevy na rozhraní prostředí. Část tepla uvolňujete do okolí – a právě tahle část nás zajímá. Všichni máme bazální metabolismus, který potřebujeme k životu. I kdybyste nic nedělal a jen ležel, pořád budete něco spotřebovávat. Druhá složka produkované entropie je adaptivní a vzniká na vrub toho, že se přizpůsobujete okolnímu prostředí. Rozdíl těchto dvou entropií, celkové a bazální, lze přičíst adaptaci. A podle nás je tahle adaptační entropie přímo úměrná míře stresové reakce.
Adaptační reakce není sama o sobě dobrá nebo špatná. To označení vychází až z koncového výsledku. Když se ocitnete uprostřed hořícího domu, můžete zůstat stát, utíkat, anebo začít hasit. To jsou základní druhy stresové reakce: freeze, flight, fight. Když zůstanete stát, můžou vás zachránit hasiči, nebo na vás může spadnout břevno a zemřete. Teprve podle toho můžete říct, jestli byla adaptace dobrá, nebo špatná. Zároveň bych byla opatrná na interpretaci, že stres je špatný. Není, je to zkrátka naše reakce, která má svůj smysl a účel. Spíš bych to zlo přičítala podmínkám než samotnému stresu. Když budou lidé v nějakém zaměstnání depresivní a sebevražední v důsledku zcela toxické firemní kultury, zabil je opravdu stres? Ne, stres byl až logický následek nepříznivých podmínek a je nutné zaměřit se na ně.
Všichni se vzájemně ovlivňujeme a s určitým zjednodušením se to dá matematicky popsat.
lékařka Julie Dobrovolná




Napsat komentář